MARVEL-VES tutorial (Lugano Feb 2017): VES 2

Learning Outcomes

Once this tutorial is completed students will learn to:

  • Use the well-tempered target distribution and understand its usefulness
  • Construct biases in 1 and 2 dimensions.

Resources

The tarball for this project contains the following folders:

  • Example1 : Contains the input file for the the first example.
  • Example2 : Contains the input file for the the second example.

Summary of theory

One of the most useful target distribution is the well-tempered one. The well-tempered target distribution is [118] :

\[ p(\mathbf{s})=\frac{e^{-(\beta/\gamma) F(\mathbf{s})}}{\int d\mathbf{s} \, e^{- (\beta/\gamma) F(\mathbf{s})}} \]

where \( \gamma \) is the so-called bias factor. It is possible to show that:

\[ p(\mathbf{s}) = \frac{[ P(\mathbf{s}) ]^{1/\gamma}} {\int d\mathbf{s}\, [ P(\mathbf{s}) ]^{1/\gamma}} \]

where \( P(\mathbf{s}) \) is the unbiased distribution of CVs. Therefore the target distribution is the unbiased distribution with enhanced fluctuations and lowered barriers. This is the same distribution as sampled in well-tempered metadynamics. The advantages of this distribution are that the features of the FES (metastable states) are preserved and that the system is not forced to sample regions of high free energy as it would if we had chosen the uniform target distribution. This is specially important when biasing 2 CVs and there are large regions of very high free energy and therefore they represent un-physical configurations.

There is a caveat though, \( p(\mathbf{s}) \) depends on \( F(\mathbf{s})\) that is the function that we are trying to calculate. One way to approach this problem is to calculate \( p(\mathbf{s}) \) self-consistently [118], for instance at iteration \( k \):

\[ p^{(k+1)}(\mathbf{s})=\frac{e^{-(\beta/\gamma) F^{(k+1)}(\mathbf{s})}}{\int d\mathbf{s} \, e^{-(\beta/\gamma) F^{(k+1)}(\mathbf{s})}} \]

where:

\[ F^{(k+1)}(\mathbf{s})=-V^{(k)}(\mathbf{s}) - \frac{1}{\beta} \log p^{(k)}(\mathbf{s}) \]

Normally \( p^{(0)}(\mathbf{s}) \) is taken to be uniform. Therefore the target distribution evolves in time until it becomes stationary when the simulation has converged. It has been shown that in some cases the convergence is faster using the well-tempered target distribution than using the uniform \( p(\mathbf{s}) \) [118].

Instructions

The system

We will consider the same system employed in previous tutorials.

Example 1: Enhancing fluctuations

We consider Example 2 of the VES 1 tutorial. In that case we used a uniform target distribution that at some value decayed to zero. In this case we will use a product of two distributions:

\[ p(s)=\frac{p_{\mathrm{WT}}(s) \, p_{\mathrm{barrier}}(s)} {\int ds \, p_{\mathrm{WT}}(s) \, p_{\mathrm{barrier}}(s)} \]

where \( p_{\mathrm{WT}}(s) \) is the well-tempered target distribution and:

MISSING EQUATION TO BE FIXED

with \( C \) a normalization factor. The files needed for this exercise are in the directory Example1. This target distribution can be specified in plumed using:

Click on the labels of the actions for more information on what each action computes
tested on v2.7
__FILL__ 
td_uniform: TD_UNIFORM 
MINIMA
The minimum of the intervals where the target distribution is taken as uniform.
=0.23
MAXIMA
The maximum of the intervals where the target distribution is taken as uniform.
=0.6
SIGMA_MAXIMA
The standard deviation parameters of the Gaussian switching functions for the maximum of the intervals.
=0.05 td_welltemp: TD_WELLTEMPERED
BIASFACTOR
compulsory keyword The bias factor used for the well-tempered distribution.
=5 td_combination: TD_PRODUCT_COMBINATION
DISTRIBUTIONS
compulsory keyword The labels of the target distribution actions to be used in the product combination.
=td_uniform,td_welltemp b1: VES_LINEAR_EXPANSION ...
ARG
the input for this action is the scalar output from one or more other actions.
=d1
BASIS_FUNCTIONS
compulsory keyword the label of the one dimensional basis functions that should be used.
=bf1
TEMP
the system temperature - this is needed if the MD code does not pass the temperature to PLUMED.
=300.0
GRID_BINS
the number of bins used for the grid.
=300
TARGET_DISTRIBUTION
the label of the target distribution to be used.
=td_combination ...

As usual, we run the example using the run.sh script. As the simulation progresses we can track the evolution of the target distribution. At variance with previous simulations where \( p(s) \) was stationary, in this case it evolves in time. The \( p(s) \) is dumped every 500 steps in a file named targetdist.b1.iter-<iteration-number>.data. You can plot these files manually or using the script plotTargetDistrib.gpi. The result should be similar to the following plot where the distribution at different times has been shifted to see more clearly the difference.

Evolution of the target distribution as the simulation progresses

To shed some light on the nature of the well-tempered target distribution, we will compare the unbiased and biased distribution of CVs. The unbiased distribution of CVs \( P(s) \) is calculated by constructing a histogram of the CVs with weights given by:

\[ w(\mathbf{R}) \propto e^{\beta V(\mathbf{s})}. \]

The biased distribution of CVs \( p'(s) \) is calculated also by constructing a histogram of the CVs but in this case each point is assigned equal weights. The prime is added in \( p'(s) \) to distinguish the biased distribution from the target distribution \( p(s) \). If the simulation has converged then \( p'(s) = p(s) \). The files needed for this calculation are located in the Reweight directory. Since this simulation converges fast as compared to previous ones, we only disregard the first 1 ns of simulation:

sed '2,5000d' ../COLVAR > COLVAR

To calculate the biased and unbiased distribution of CVs we use the following PLUMED input:

Click on the labels of the actions for more information on what each action computes
tested on v2.7
__FILL__ 
distance: READ 
FILE
compulsory keyword the name of the file from which to read these quantities
=COLVAR
IGNORE_TIME
( default=off ) ignore the time in the colvar file.
VALUES
compulsory keyword the values to read from the file
=d1 ves: READ
FILE
compulsory keyword the name of the file from which to read these quantities
=COLVAR
IGNORE_TIME
( default=off ) ignore the time in the colvar file.
VALUES
compulsory keyword the values to read from the file
=b1.bias weights: REWEIGHT_BIAS
TEMP
the system temperature.
=300
ARG
compulsory keyword ( default=*.bias ) the biases that must be taken into account when reweighting
=ves.bias hh1: HISTOGRAM ...
ARG
the input for this action is the scalar output from one or more other actions.
=distance
GRID_MIN
compulsory keyword the lower bounds for the grid
=0.23
GRID_MAX
compulsory keyword the upper bounds for the grid
=0.8
GRID_BIN
the number of bins for the grid
=301
BANDWIDTH
compulsory keyword the bandwidths for kernel density estimation
=0.006 ... hh2: HISTOGRAM ...
ARG
the input for this action is the scalar output from one or more other actions.
=distance
GRID_MIN
compulsory keyword the lower bounds for the grid
=0.23
GRID_MAX
compulsory keyword the upper bounds for the grid
=0.8
GRID_BIN
the number of bins for the grid
=301
BANDWIDTH
compulsory keyword the bandwidths for kernel density estimation
=0.006
LOGWEIGHTS
list of actions that calculates log weights that should be used to weight configurations when calculating averages
=weights ... DUMPGRID
GRID
compulsory keyword the action that creates the grid you would like to output
=hh1
FILE
compulsory keyword ( default=density ) the file on which to write the grid.
=histo_biased
FMT
the format that should be used to output real numbers
=%24.16e DUMPGRID
GRID
compulsory keyword the action that creates the grid you would like to output
=hh2
FILE
compulsory keyword ( default=density ) the file on which to write the grid.
=histo_unbiased
FMT
the format that should be used to output real numbers
=%24.16e

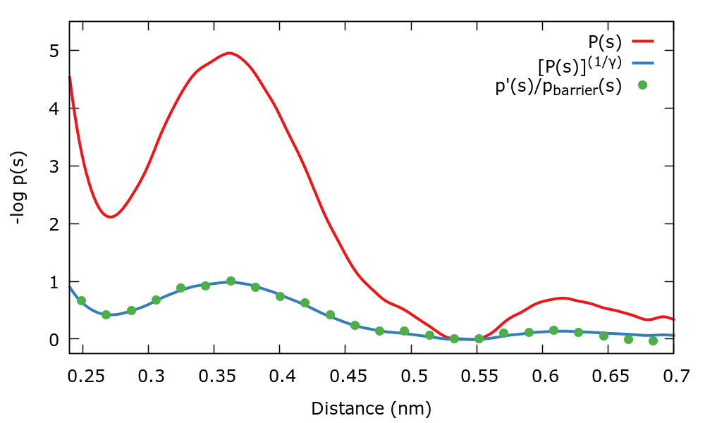
If you do not understand what this input does, you might want to read once again the previous tutorials. The histograms histo_biased and histo_unbiased correspond to \( p'(s) \) and \( P(s) \) , respectively. We are interested in comparing the unbiased distribution of CVs \( P(s) \) and the well-tempered distribution \( p_{\mathrm{WT}}(s)\). We know from the equations above that:

\[ p_{\mathrm{WT}}(s) \propto [ P(\mathbf{s}) ]^{1/\gamma}, \]

and also,

\[ p_{\mathrm{WT}}(s) \propto p(s)/p_{\mathrm{barrier}}(s) \propto p'(s)/p_{\mathrm{barrier}}(s) . \]

Therefore we have two ways to calculate the well-tempered target distribution. We can compare \( P(s) \) and the well-tempered target distribution calculated in two ways with the following gnuplot lines:

biasFactor=5.
invBiasFactor=1./biasFactor
pl "./histo_unbiased" u 1:(-log($2)) w l title "P(s)"
repl "./histo_unbiased" u 1:(-log($2**invBiasFactor)) w l title "[P(s)]^(1/gamma)"
repl "< paste ./histo_biased ../targetdist.b1.iter-0.data" u 1:(-log($2/$5)) w l title "Sampled p(s)"

There is also a gnuplot script plot.gpi that should do everything for you. The output should be similar to the next plot where we plot the negative logarithm of the distributions.

Unbiased distribution of CVs P(s) and well-tempered distribution calculated in two ways

Notice that as expected both equations to calculate \( p_{\mathrm{WT}}(s)\) agree. Also the association barrier of \( 5 \: k_{\mathrm{B}} T \) becomes of \( 1 \: k_{\mathrm{B}} T \) when the well-tempered target distribution is sampled.

The take home message of this tutorial is that when the well-tempered target distribution is employed, the biased distribution of CVs preserves all the features of the unbiased distribution, but barriers are lowered. Equivalently one may say that fluctuations are enhanced.

Example 2: Constructing a 2 dimensional bias

In this example we will construct a 2 dimensional bias on the distance Na-Cl and the coordination number of Na with respect to O. The files to run this example are included in the Example2 folder. Two dimensional biases in VES can be written:

\[ V(s_1,s_2;\boldsymbol\alpha)=\sum\limits_{i_1,i_2} \alpha_{i_1,i_2} \, f_{i_1}(s_1)\, f_{i_2}(s_2) , \]

where \( f_{i_1}(s_1)\) and \( f_{i_2}(s_2) \) are the basis functions. We will choose to expand the bias potential in Legendre polynomials up to order 20 in both dimensions.

Click on the labels of the actions for more information on what each action computes
tested on v2.7
__FILL__ 
# CV1
bf1: BF_LEGENDRE ...
   
ORDER
compulsory keyword The order of the basis function expansion.
=20
MINIMUM
compulsory keyword The minimum of the interval on which the basis functions are defined.
=0.23
MAXIMUM
compulsory keyword The maximum of the interval on which the basis functions are defined.
=0.8 ... # CV2 bf2: BF_LEGENDRE ...
ORDER
compulsory keyword The order of the basis function expansion.
=20
MINIMUM
compulsory keyword The minimum of the interval on which the basis functions are defined.
=2.5
MAXIMUM
compulsory keyword The maximum of the interval on which the basis functions are defined.
=7.5 ...

We have chosen the interval [0.23,0.8] nm for the distance and [2.5,7.5] for the coordination number. The total number of non-zero coefficients will be 400. In the coefficients file the indices \(i_{1}\) and \(i_{2}\) are given by the first two columns. We use the well-tempered target distribution together with a barrier at 0.6 nm on the distance Na-Cl.

Click on the labels of the actions for more information on what each action computes
tested on v2.7
__FILL__ 
td_uniform: TD_UNIFORM 
MINIMA
The minimum of the intervals where the target distribution is taken as uniform.
=0.2,2.5
MAXIMA
The maximum of the intervals where the target distribution is taken as uniform.
=0.6,7.5
SIGMA_MAXIMA
The standard deviation parameters of the Gaussian switching functions for the maximum of the intervals.
=0.05,0.0 td_welltemp: TD_WELLTEMPERED
BIASFACTOR
compulsory keyword The bias factor used for the well-tempered distribution.
=5 td_combination: TD_PRODUCT_COMBINATION
DISTRIBUTIONS
compulsory keyword The labels of the target distribution actions to be used in the product combination.
=td_uniform,td_welltemp b1: VES_LINEAR_EXPANSION ...
ARG
the input for this action is the scalar output from one or more other actions.
=d1,coord
BASIS_FUNCTIONS
compulsory keyword the label of the one dimensional basis functions that should be used.
=bf1,bf2
TEMP
the system temperature - this is needed if the MD code does not pass the temperature to PLUMED.
=300.0
GRID_BINS
the number of bins used for the grid.
=300,300
TARGET_DISTRIBUTION
the label of the target distribution to be used.
=td_combination ...

We can now run the simulation and control its progress. Since there are 400 coefficients we choose the largest (in absolute value) to control the convergence of the simulation. In this case we have chosen coefficients with indices \((i_{1},i_{2})\) as (1,0), (0,1), (1,1), (2,1), and (0,2). You can plot the evolution of the coefficients using the gnuplot script plotCoeffs.gpi. This plot should look similar to the following one. The bias therefore converges smoothly as in one dimensional problems.

Evolution of the largest coefficients

The estimated FES can also be plotted to control the progress of the simulation. For instance in gnuplot,

set xr [0.23:0.7]
set yr [3:7]
set zr [0:6]
set cbr [0:6]
set pm3d map
temp=2.494
spl "./fes.b1.iter-1000.data" u 1:2:($3/temp) w pm3d notitle

There is a gnuplot script plotFes.gpi that generates the following plot for the FES after 10 ns of simulation:

FES estimated from the 2D bias after 10 ns

This FES agrees with that calculated through reweighting in the metadynamics tutorial.

As an exercise, you can repeat this simulation using the uniform target distribution instead of the well-tempered \( p(s) \). Compare the convergence time of both simulations. Discuss the reasons why the algorithm converges faster to the well-tempered target distribution than to the uniform one. Does it make sense to sample all the CV space uniformly?

Final remarks

At this point the student has acquired experience with several characteristics of the VES method. There is one tool that has proven to be instrumental for many problems and that has not yet been discussed in this series of tutorials: the use of multiple walkers. This tool will be the subject of another tutorial.